
随着年龄的增长,人们观察到肠道微生物群的组成和功能发生了变化,这些变化可能与健康和疾病风险的增加有关。功能性微生物群的缺陷,特别是在蛋白质合成和代谢途径方面,可能是衰老过程中一个重要的因素。本研究通过对婴儿、成人和老年人的粪便样本进行蛋白质组分析,揭示了与年龄相关的微生物群功能的变化,并尝试确定是否存在一个特定的年龄阈值,超过这个年龄阈值,微生物群的功能会发生显著变化。
研究结果表明,肠道微生物群的合成色氨酸和吲哚的能力随着年龄的增长而逐渐下降,这表明可能存在一个与年龄相关的功能性微生物群缺陷的阈值。从11岁开始,人类肠道微生物群产生这些代谢物的能力可能会降低,而到了34岁,这种能力可能比儿童时期减少超过90%。这一发现强调了在衰老过程中,肠道微生物群可能在某个特定年龄点开始显著减少其功能,这可能对老年人的健康产生重要影响。
因此,了解这些与年龄相关的微生物群功能变化对于开发预防和治疗衰老相关疾病的策略具有重要意义。例如,通过膳食补充或其他干预措施来提高肠道微生物群的功能,可能有助于改善老年人的健康状况和生活质量。未来的研究需要进一步探索这些假设,并确定如何有效地利用这些知识来促进健康衰老。

微生物群现在被认为是我们身体的一个额外器官。因此,它在发育过程中会经历变化,与其他器官类似。此外,无论其生理状态是健康还是菌群失调,都会影响个体的整体健康,尽管这种影响的方向性并不完全清楚,有时甚至令人困惑。我们身体所暴露的各种因素也反映在微生物群的变化上(Rojo et al., 2017)。各种自然的生理变化是改变微生物结构的因素之一,无论是暂时的(如怀孕或哺乳)还是永久的(如衰老过程)(O'Toole & Jeffery, 2015)。其中一种变化是由年龄的增长引起的。人类在出生时并非没有微生物,随着年龄的增长,微生物群落不断丰富和多样化(Odamaki et al., 2016)。实际上,普遍认为在3岁时建立了一个健康稳定的微生物群,尽管会有各种类型的周期性波动,但直到成年阶段仍然保持相似(Odamaki et al., 2016)。然而,这个结论应该重新审视,因为微生物群在发育过程中可以是健康的,但会随着年龄的增长而动态变化(Martí et al., 2017)
基于对全肠道微生物群进行的16S rDNA测序,观察到老年人的临床表型与所谓的“老化微生物群”之间存在一种关系(Fransen et al., 2017)。这种微生物群特别富含病原生物,并且显示出具有抗炎和免疫调节特性的细菌数量减少。这些细菌包括诸如Bacteroides、Alistipes、Parabacteroides、Faecalibacterium、Ruminococcus、Clostridium簇IV和XIVa、Coprococcus、Roseburia、Coprobacillus、Anaerotruncus、Escherichia、Lactonifactor、Eubacterium、Lactobacillus、Bifidobacterium和Akkermansia等属,以及Enterobacteriaceae、Eubacteriaceae、Porphyromonadaceae和Christensenellaceae等科。然而,这些细菌中的大多数也代表了一些疾病和紊乱的微生物特征(Rojo et al., 2017)。因此,研究人员尚未能够解开这些细菌的菌群失调变化及其在衰老过程中的作用。
我们希望关注总微生物群和活跃微生物群之间存在的差别(Moya & Ferrer, 2016)。在给定时刻的细菌总量与活跃的工作部分是不同的,因为这部分具有功能性角色,对人类健康更为重要(Mills et al., 2019)。换句话说,尽管在任何时间尺度上检查总微生物群(活跃和非活跃)的时间变化都是有趣的,但在更广泛的意义上评估活跃成员的变化更为重要(Moya & Ferrer, 2016),或者与衰老、预期寿命和与年龄相关的疾病有关(Zierer, Menni, Kastenmüller, & Spector, 2015)。例如,在他们关于衰老和微生物群的研究中,Sonowal等人(2017)发现,共生活跃微生物群产生的吲哚对年轻个体的适应性没有影响,但在多种生物如秀丽隐杆线虫(Caenorhabditis elegans)、果蝇(Drosophila melanogaster)和小鼠中,延长了老年个体的健康寿命。在衰老过程中,吲哚诱导宿主基因的表达,促进健康衰老。因此,有必要对明确年龄组中人类微生物群活跃成分相关的微生物功能进行评估。然而,这些研究仍然很少见。
本文稿的目标是确定功能性肠道微生物群与衰老之间的关联,并识别与衰老相关的潜在功能缺陷。与其它“组学”技术相比,使用蛋白质组学和代谢组学的研究表明了这些缺陷的直接宝贵见解,但由于技术限制,衰老研究中的此类研究仅限于少数几个例子和小样本量(n = 12)(Gelfi et al., 2006; Zierer et al., 2015)。在本研究中,从三个明确定义的年龄组(n = 30)的粪便材料中分离出的细菌细胞的总蛋白经过射枪蛋白质组学分析;这种方法使我们能够界定合成蛋白质的微生物群的活跃部分。随后,对已识别的蛋白质进行了功能分析,以评估推测的年龄依赖性功能缺陷。最后,使用液相色谱结合质谱技术,在随时间收集的扩展复制样本集(n = 83)中对功能缺陷进行了实验验证。联合分析识别出一个与衰老相关的可重复微生物群生物标志物,即老年与色氨酸和吲哚缺陷之间的联系。色氨酸和吲哚对健康衰老的重要性(Sonowal et al., 2017)以及本研究中报告的结果将为健康衰老的发展提供潜在的创新饮食策略的机会。

1. 研究人群的一般特征和研究设计
在本研究中,我们对三个不同年龄段的人群进行了研究,以探究肠道微生物群的功能与衰老之间的关系。研究人群包括10名婴儿(I组)、10名成年人(A组)和10名老年人(E组),他们的粪便样本被收集并采用蛋白质组学方法进行分析。这种设计使我们能够比较不同年龄段的微生物群功能,并识别与衰老相关的潜在功能缺陷。
研究设计采用了池化策略,即将来自每个年龄组的个体样本混合在一起,以减少分析的样本数量并提高效率。通过这种方法,我们将每个年龄组的10个个体样本合并为两个五人样本池。这样的设计有助于我们在一个较低的资源和时间成本下,对三个年龄组之间的显著差异进行初步筛选。一旦确定了潜在的生物标志物,我们将使用独立样本进行更深入的分析和验证。
在进行初始分析时,仅对每名志愿者的零时样本进行了测量。而在验证分析中,我们测量了在0、3和6个月收集的样本,以确保结果的可靠性和一致性。采样程序在第4节中有详细描述。
通过这种研究设计,我们旨在揭示肠道微生物群功能与衰老进程之间的联系,并为健康衰老的潜在干预策略提供科学依据。研究结果将有助于我们更好地理解微生物群如何影响人类健康,并可能指导未来的饮食和生活方式干预措施的发展。

表S1
2、老年人的状态与活跃细菌水平的升高有关
总共从六个样本池的粪便样本中获得了64,313个经过质量筛选的非冗余蛋白质,每个样本池的中位数值为14,892 ± 1,875个蛋白质(表S1)。在所有六个样本池中,蛋白质数量的显著差异并未被观察到。这个数字与之前关于肠道微生物群的蛋白质组学研究中报告的平均值一致(Deusch et al., 2018; Mills et al., 2019; Serrano-Villar et al., 2016)。
我们使用之前描述的方法(Deusch et al., 2018),从原始的蛋白质组学数据中计算了活跃细菌的α多样性参数,即微生物丰富度(d)、Pielou的均匀度(J′)和Shannon指数(H)。如表2所示,使用d值测量的活跃物种的丰富度随着年龄的增长略有增加,E组的值大约是I组的1.4倍。通过计算J′和H来测量物种的数量,也随着年龄的增长略有增加。因此,衰老与相应活跃细菌略微更高的蛋白质多样性和丰富度有关。
重要的是,由于每组只分析了两个样本池,因此没有进行统计分析。然而,池之间的标准差非常低,因此观察到的差异被认为是显著的。这表明在不同年龄段的人群中,肠道微生物群的活跃部分确实存在一些差异,这些差异可能与衰老过程中的生理变化有关。这些发现为进一步研究衰老如何影响肠道微生物群的功能和结构提供了基础,并可能有助于开发针对老年人群的健康促进和疾病预防策略。

图S2
3、与衰老相关的功能缺陷
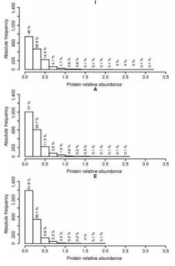
我们执行了第4节中描述的程序,以最佳方式评估三个明确定义组中两个样本池的蛋白质组。在这个实验中,只有那些在三个组的每个样本池中都表达的蛋白质才被认为是由于衰老而引起的蛋白质水平变化,而不是由于个体间的变异性。在64,313个经过质量筛选的非冗余蛋白质中,有3,475个蛋白质符合以下标准:它们在两个样本池中都存在,不考虑相对丰度水平。随后对这些蛋白质进行了比较。相对蛋白质丰度是使用第4节中描述的程序获得的。如图1所示,在所有三个年龄组中观察到了相对蛋白质丰度的指数分布,只有一小部分蛋白质(不到1%)被定义为超丰度。因此,丰度数据表明,在研究的三个明确定义的年龄组中,合成和表达的蛋白质多样性并没有被某种特定类型的蛋白质或高度相似的蛋白质簇所主导,而是由具有相似丰度的多样化蛋白质组成。
在对3,475个蛋白质进行后续检查后发现,大约只有18%的蛋白质在三个明确定义的年龄组之间是共享的(图S2)。大约14%的蛋白质仅在婴儿中表达,大约21%在成人中表达,而大约25%在老年人中表达,这表明衰老轻微且逐步诱导了在早期生活中低于检测限的蛋白质的合成。与其检查各组之间个别差异表达的蛋白质,这可能因为样本混合后的生物变异而有偏差,我们基于假设个体组或样本中存在代表性的功能缺陷进行了功能分析;样本混合已被证明适合这些目的(Molinari et al., 2018)。所识别的蛋白质被分配到京都基因与基因组百科全书(KEGG)的正交路径(KO)中,以评估衰老对KEGG定义的不同代谢途径的影响。在计算每个KO的相对丰度后(见第4节),大多数已识别的KO功能没有观察到统计学上的显著差异(图2)。在不同的KO注释中,我们关注那些在极端年龄状态之间有区分的路径,即在I组和E组中存在的路径,或者反之亦然。通过使用这个严格的标准,只有分配到KO1667(TnaA;色氨酸酶)和KO1696(TrpB;色氨酸合成酶)的蛋白质水平在婴儿中显著高于成人,并且在老年人中低于检测限(图3)。这些蛋白质中的大多数属于厚壁菌门的细菌。TrpB和TnaA是催化色氨酸生物合成的最后步骤以及其进一步代谢成吲哚的酶(图4)。这两种蛋白质在老年人的两个样本池中都检测不到的。观察结果表明,“老年”微生物群产生色氨酸和吲哚的能力可能与“婴儿”或“成人”微生物群相比显著降低。

图1 展示了I组、A组和E组中相对蛋白质丰度值的分布情况。图中表示的是在三个组中每组两个样本池(每个样本池包含五名个体)中表达的蛋白质数量(以绝对频率给出),并给出了每个表达组中蛋白质的百分比,这些百分比显示在条形图上方。相对丰度代表了三个明确定义的年龄组中每个组两个五人样本池的平均值。该图是通过使用R脚本获得的。

图4 微生物群基于的色氨酸和吲哚代谢。简而言之,微生物群的细菌成员通过TrpB色氨酸合成酶合成色氨酸;这种代谢物通过TnaA色氨酸酶的作用进一步降解成与健康寿命相关的吲哚。
4、与年龄相关的色氨酸和吲哚代谢变化
我们通过在所有个体的I组、A组和E组样本中使用靶向蛋白质组学技术,对TrpB(对色氨酸生物合成至关重要)和TnaA(将色氨酸转化为吲哚)蛋白质的相对丰度进行了量化,从而验证了使用池化策略检测到的功能缺陷。我们还定量确定了所有志愿者粪便液中的色氨酸和吲哚浓度。(注:这个验证测试是通过使用在0、3和6个月时从30名个体中收集的大部分样本进行的,总共有83个样本;有关额外细节,请参见第4节。)
如图5所示,通过绘制TnaA和TrpB的相对丰度与年龄的关系,我们观察到了一个指数衰减的分布(r^2 > .948)。吲哚(浓度范围从约3,088毫克/升到0毫克/升)和色氨酸(浓度范围从约456毫克/升到0.44毫克/升)的浓度也随着年龄的增长呈现出相同的分布模式(图5;r^2 > .960),这与参与它们代谢的蛋白质的相对丰度一致。实际上,如图6(左面板)所示,观察到TnaA与吲哚之间的丰度相关性(r^2 = .996),以及TrpB与色氨酸之间的相关性(r^2 = .987)。
根据这项分析的结果,TnaA、TrpB、色氨酸和吲哚在老年人中要么缺失,要么以非常低的水平被检测到,但在婴儿和成人中以显著更高的浓度存在。半衰期,定义为与初始值相比,目标蛋白质和代谢物降解到一半所需的时间,计算结果约为11-31岁(图5)。从大约34-54岁开始,减少了超过90%。因此,在婴儿、成人和老年人之间的粪便吲哚和色氨酸含量观察到了统计学上的显著差异(p < 2.8e−8),后者显著较低(图6,右面板)
毫无疑问,老年人的微生物群无法生成吲哚和色氨酸,或者仅能以非常低的水平产生这些代谢物,而这些特征是迄今为止已确定的最佳反映年龄的活跃生物标志物。

图6 TnaA与吲哚以及TrpB与色氨酸丰度之间的关系是导致老年人这两种代谢物含量较低的原因。所考虑的样本和数据分析(相关性和r^2)如图5所述。在左侧面板中,展示了蛋白质与代谢物丰度之间关系的拟合情况。在右侧面板中,展示了所检查的三个明确定义的年龄组个体中吲哚和色氨酸丰度的箱线图(从图5中提取)。组间差异的统计评估是通过Mann-Whitney U检验进行的。

在本研究中,我们全面评估了与年龄相关的肠道微生物群的变化,特别是与蛋白质合成相关的变化,并最终能够在婴儿、成人和老年人之间进行区分。我们的研究通过对三个明确定义的年龄组的样本进行粪便射枪蛋白质组分析,并进一步通过传统的代谢物定量分析方法进行验证。尽管已经识别出了与衰老特异性的微生物种类生物标志物(见第1节),但与衰老相关的微生物缺陷的识别并没有经历同样的知识增长。这些信息对于理解整个微生物群特征在衰老中的作用非常重要。蛋白质组的分析为研究与衰老相关的微生物群提供了一个独特的机会,因为它提供了一个功能性的视角。此外,识别与衰老相关的潜在蛋白质或功能缺陷的可重复生物标志物可能有助于设计治疗或营养干预措施。
在这里,我们比较了婴儿、成人和老年人肠道微生物群活跃部分相关的蛋白质。衰老与肠道细菌的逐步活化有关,可能是因为细菌必须对越来越多的因素做出反应,这些因素与维持健康状态有关,以应对与早期生活阶段相比独特且更多的环境条件的暴露。最重要的是,我们发现了衰老与共生微生物群中与色氨酸和吲哚生产及代谢相关的微生物途径之间的联系。参与色氨酸转化为吲哚代谢的关键蛋白质TnaA和TrpB在婴儿的肠道微生物群中更为丰富且表达量更高。在成人中,两者的表达水平显著降低,在老年人中甚至更低或低于检测限。
如最近一项研究所示,共生细菌产生的吲哚能延长老年蠕虫、果蝇和小鼠的健康寿命,而吲哚可能代表了一类能改善我们老化方式的治疗药物,但不是我们寿命的长度(Sonowal et al., 2017)。色氨酸这种必需氨基酸,在蛋白质合成中的使用量最少,可以通过饮食摄取或由肠道细菌产生,可以在肠道微生物群的影响下穿过血脑屏障(Sandgren & Brummer, 2018),并且是许多复杂的微生物天然产物的生物合成前体。最近的体外研究表明,在一些疾病的患者中,色氨酸的生产、转运和分解减少,因为其分解在人类T细胞分化、免疫功能调节、调节性T细胞(Treg)发育和神经功能中起着至关重要的作用(Favre et al., 2010; Vujkovic-Cvijin et al., 2013; Sandgren & Brummer, 2018)。
因此,肠道微生物生态系统的发育受损,导致老年人产生吲哚和色氨酸的能力下降,可能是由于肠道微生物蛋白质表达水平低,这些蛋白质构成了它们生产中涉及的酶促机制,这可能在决定健康状况中发挥核心作用。
实际上,研究人员已经假设并不存在一个特定的年龄阈值,在这个年龄点上微生物群的组成会突然改变,而是随着时间的推移逐渐发生变化(O'Toole & Jeffery, 2015)。这一假设得到了本研究结果的支持,因为我们观察到合成色氨酸和吲哚的能力随着年龄的增长而逐渐下降。然而,与以往的研究相比,我们的研究提出了一个特定的年龄阈值,超过这个年龄,基于微生物群的色氨酸和吲哚代谢开始显著减少,如果不进行适当处理,可能会对衰老过程中的健康产生影响。确实,根据我们的结果,从11岁开始,人类肠道微生物群可能表现出减少产生这些代谢物的能力,而从34岁开始,与儿童时期相比,这种能力可能减少超过90%。本研究的结果加强了这样一个假设:膳食补充吲哚(Sonowal et al., 2017)和色氨酸对老年人有益,因为他们的肠道细菌产生这些延长健康寿命所需的分子的能力受损。这种补充可以从11岁开始进行,此时这些代谢物的生产减少了50%,特别是从34岁开始,当减少超过90%时(图5)。
我们的结果实际上表明,衰老显著降低了我们肠道环境中的色氨酸含量。值得注意的是,90%的减少发生在相对“年轻”的34岁时。这个减少的阈值的原因仍然不清楚,需要进一步的研究。同样,如果存在的话,其他微生物群产物的年龄阈值需要被建立和解释。在等待这些问题进一步评估的同时,最近的一项研究表明,某些细菌在预测年龄方面很重要,因为某些细菌的丰度和丢失与一个人的一生有关(Galkin et al., 2018)。因此,我们认为从某个年龄开始的色氨酸缺乏可能与肠道内微生物组成的共同变化和生态相互作用有关。未来,通过16S rRNA和粪便中色氨酸组成的相关性分析,将能够检测到不同年龄时共同出现的细菌网络和色氨酸水平。
根据所呈现的结果以及色氨酸及其副产品的重要性,我们建议基于色氨酸补充的营养干预可能对于“健康”的长寿是必需的。数据表明,在婴儿期和早期成年期,这种干预并不是必须的,因为在这些年龄段相应的肠道微生物群能够产生这些必需分子,尽管在成人中产生的水平显著较低。然而,老年人的“老化”微生物群并不产生这些分子。许多饮食因素和其他产品的 Nutritional interventions 对老年人产生积极效果或延长啮齿动物的寿命(Miller et al., 2019)。因此,我们提出了一个新的干预措施。
值得注意的是,这项研究有两个主要的局限性。第一个局限性与应用的池化策略有关,正如Molinari等人(2018)所讨论的,这是一个微妙的问题。从方法论的角度来看,值得提及以下几点,即在此使用的池化策略的优势,以捕捉不同年龄人群蛋白质表达谱的差异。首先,关于实验时间和成本,根据我们的估计,池化策略减少了待分析样本的数量,并通过约5倍降低了成本和时间。从统计学的角度来看,只有当关注在一个组内所有池中检测到的蛋白质时,池化才有效。这种所谓的核心蛋白质组代表每个组(Zhang et al., 2014),将为组间比较提供统计意义,并选择生物标志物,这些生物标志物在第二步中可以通过目标质谱在所有个体中进行验证。我们的结果实际上证明了这种方法能够检测到衰老生物标志物。话虽如此,这种策略的主要缺点之一,除了较低的统计显著性外,如果结果没有在个体样本中进一步验证,就会丢失组内差异。第二个局限性是调查的个体数量相对较少(总共30人)。然而,分析了三份重复样本(每个志愿者的样本收集间隔最多6个月),这增加了结果的统计显著性。对更多参与者进行分析,并施用包括吲哚和色氨酸补充的营养干预,可能有助于阐明这些分子对老年人健康寿命可能的有益效果。
本文译自:Ruiz-Ruiz S, Sanchez-Carrillo S, Ciordia S, et al. Functional microbiome deficits associated with ageing: Chronological age threshold. Aging Cell. 2020 Jan ;19(1):e13063. doi: 10.1111/acel.13063.
发表杂志:Aging Cell
影响因子:8.2
通讯作者:Andrés Moya
作者单位:CIBER en Epidemiología y Salud Pública (CIBERESP), Madrid, Spain